molchemist is a Typst package for rendering chemical structures directly from Molfile (.mol) and Structure-Data File (.sdf) formats.
It leverages a blazing-fast Rust/WASM core (powered by sdfrust) to parse molecular graphs and detect cycles, and seamlessly renders them using the declarative drawing engine of alchemist.
Usage
Import the render-mol function from the package and pass the raw string data of your .mol or .sdf file.
#import "@preview/molchemist:0.1.0": render-mol
// Read your molecule data
// Example: https://pubchem.ncbi.nlm.nih.gov/compound/93406
#let mol-data = read("Structure2D_COMPOUND_CID_93406.sdf")
Rendering Modes
molchemist supports three distinct rendering styles to suit your document’s needs:
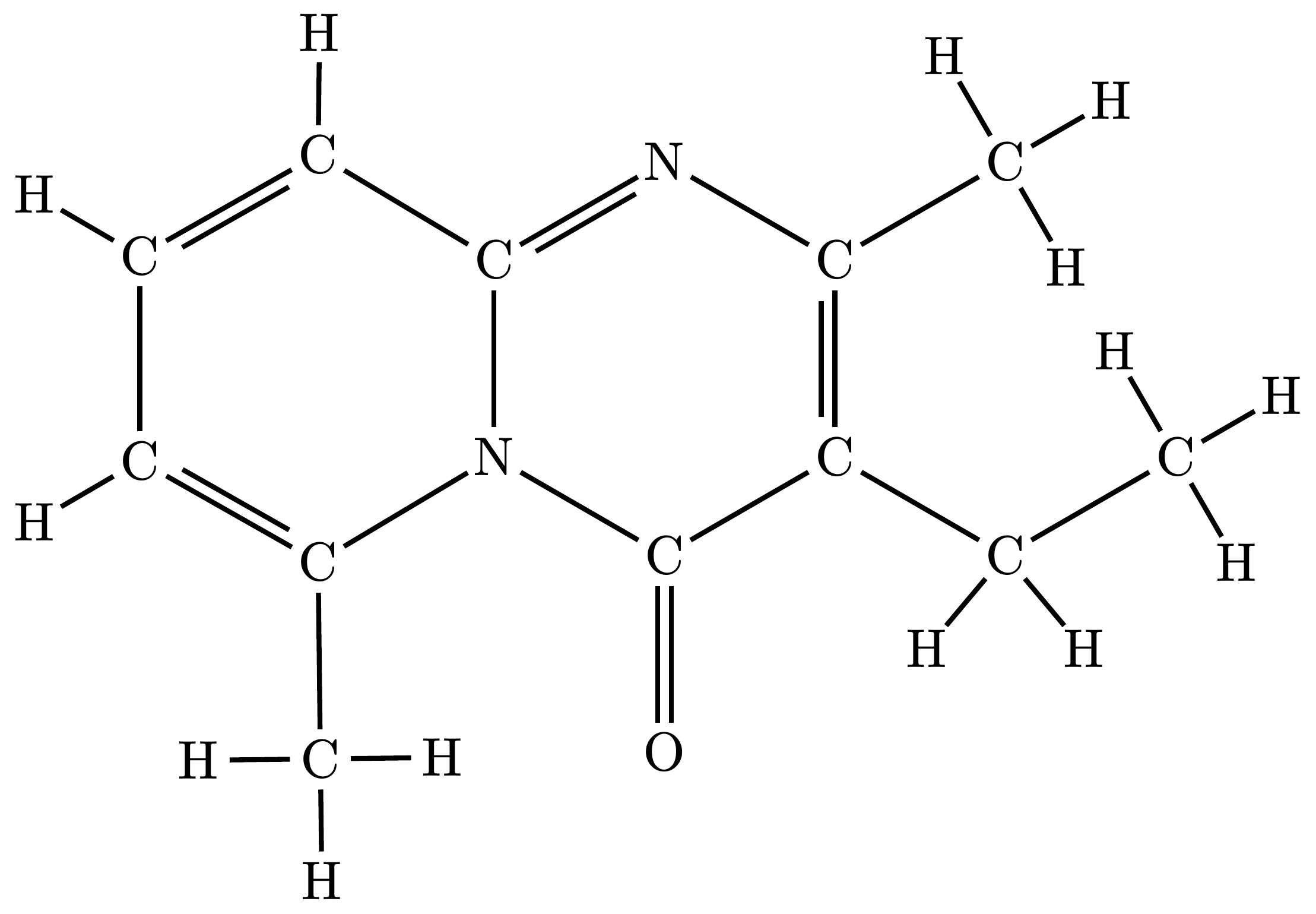
1. Full Mode (Default)
Draws every single atom and bond explicitly exactly as defined in the source file, including all carbons and hydrogens.
Note: For complex molecules, text overlapping may occur. See Known Limitations for workarounds.
#render-mol(mol-data)

2. Abbreviated Mode
A standard chemical representation. It hides the carbon backbone, wraps explicit hydrogens into their parent heteroatoms (e.g., O + H becomes OH), and neatly formats terminal carbon groups (e.g., CH3).
#render-mol(mol-data, abbreviate: true)

3. Skeletal Mode
A pure skeletal formula. All backbone carbons and their attached hydrogens are completely hidden, leaving only the zigzag lines and heteroatoms.
#render-mol(mol-data, skeletal: true)

Customizing Appearance
Under the hood, molchemist parses the graph and generates native alchemist elements. You can customize the look of your molecules by passing styling arguments via the config dictionary, which are passed directly to alchemist’s skeletize function.
#render-mol(
mol-data,
skeletal: true,
config: (
atom-sep: 2em,
fragment-margin: 2pt,
fragment-color: blue,
fragment-font: "New Computer Modern",
single: (stroke: 1pt + black),
double: (gap: 0.3em, stroke: 1pt + red)
)
)

Important Note on Configuration:
- Routing overrides: Because
molchemistmaps the exact 2D absolute coordinates from the source.sdf/.molfile,alchemist’s automatic routing configs (likeangle-increment,base-angle) are bypassed and have no effect. - Lewis Structures:
molchemistdoes not automatically infer or generate Lewis structures from SDF files, solewis-*configs are not applicable out of the box.
Advanced: Ejecting to Alchemist Code (Dump Mode)
If you need to manually fine-tune a molecule, add a specific Lewis structure, or integrate the structure into a larger custom alchemist drawing, you can use the dump parameter.
When dump: true is passed, molchemist will not render the molecule. Instead, it will output the generated native alchemist code block into your document. You can then copy, paste, and modify this code directly.
#render-mol(mol-data, dump: true)

Known Limitations
When rendering highly complex or dense molecules (e.g., polycyclic compounds, dense substituents) in the default Full Mode, you may encounter overlapping atoms or intersecting bonds. This occurs because the 2D absolute coordinates provided in the source .sdf/.mol files might not allocate enough physical space on the canvas to draw every explicit text label without collisions.
Recommended Workarounds:
- Use Abbreviated or Skeletal Mode: For complex organic structures, it is highly recommended to set
abbreviate: trueorskeletal: true. This hides redundant atoms, dramatically improving readability and preventing overlaps, which aligns with standard chemical drawing practices. - Increase Bond Length: If you strictly require Full Mode, you can increase the distance between atoms to create more physical space for the text labels by adjusting the
atom-sepproperty in theconfigargument:// The default atom-sep is 3em #render-mol(mol-data, config: (atom-sep: 4.5em))
API Reference
data(str): The raw string content of a.molor.sdffile.abbreviate(bool): Iftrue, applies standard chemical abbreviations (e.g., folding H into heteroatoms, labeling terminal CH3). Default isfalse.skeletal(bool): Iftrue, renders a pure skeletal structure, overridingabbreviate. Hides all backbone C and H atoms. Default isfalse.dump(bool): Iftrue, outputs the generatedalchemistsource code as a formatted Typst code block instead of rendering the molecule graphic. Useful for manual tweaking. Default isfalse.config(dictionary): A dictionary of visual styling options passed directly to thealchemistpackage.
License
This project is distributed under the MIT License. See LICENSE for details.